De specificatie in SSB ziet er meestal zo uit:
bijvoorbeeld 0,3 µV voor 20 dB (S+N)/N of 0,15 µV voor 10 dB (S+N)/N.
Om nu de '20 dB' om te zetten naar '10 dB' of omgekeerd, wordt eerst aangenomen, dat het detektieproces lineair is (dus geen FM).
Een stap van 10 dB komt overeen met een stap van 10 × in vermogen, in spanning is dit √10 ≈ 3,3 maal. Dus van 10 dB (S+N)/N naar 20 dB (S+N)/N betekent vermenigvuldigen van de opgegeven spanning voor 10 dB (S+N)/N met 3,3. Omgekeerd van 20 dB (S+N)/N naar 10 dB (S+N)/N betekent delen van de spanning, opgegeven bij 20 dB (S+N)/N met een faktor 3,3.
Bijvoorbeeld:
Ontvanger I: 0,15 µV voor 10 dB (S+N)/N
Ontvanger II: 0,5 µV voor 20 dB S/N.
Het verschil tussen (S+N)/N en S/N wordt verwaarloosd. 10 dB → 20 dB = 3,3 dus 0,15 × 3,3 = 0,495 µV.
Ontvanger I heeft dus 0,495 µV nodig voor 20 dB S/N 20 dB → 10 dB = ÷ 3,3 dus 0,5 ÷ 3,3 = 0,1515 µV.
Ontvanger II heeft dus 0,1515 nodig voor 10 dB S/N.
Op papier is ontvanger I dus iets gevoeliger. Het verschil is echter dermate klein, dat ze volledig verdwijnt in de afrondingen, die zijn toegepast. Praktisch is boven geschetste methode slechts binnen 10% betrouwbaar. Voor de luisteraar is echter een verschil van 10% volledig onhoorbaar.
Op grond van de specificaties, zoals bovenstaand is geschetst, is ook het ruisgetal te schatten. Hiertoe rekent men eerst het vermogen uit, dat hoort bij de opgegeven antenne ingangsspanning, volgens P = U2/R. Dit vermogen wordt dan vergeleken met de theoretische -140 dBm, bijvoorbeeld:
Ontvanger I: 0,3 µV voor 10 dB S/N
Ontvanger II: 0,5 µV voor 20 dB S/N.
Ontvanger I:

Bij dit vermogen (-117,5 dBm) is de signaal-ruisverhouding 10 dB. Bij de ruisgetalmeting werd echter uitgegaan van (S+N)/N = 3 dB, ofwel ruisvermogen en signaalvermogen zijn aan elkaar gelijk. Het vermogen -117,5 dB voor 10 dB S/N moet nog naar 0 dB S/N.
Dit betekent een afname van 10 dB. Dus 117,5 - 10 = -127,5 dBm.
Het ruisgetal is nu 140 - 127,5 = 12,5 dB.
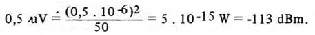
Ontvanger II:

20 dB S/N + -113 - 20 = -133 dBm ruisvermogen.
140 - 133 = 7 dB ruisgetal.
Ontvanger II heeft een beter (kleiner) ruisgetal en is dus gevoeliger.
Deel 1 - deel 2.