Naast voldoende zendsignaal zal uiteraard ook goede ontvangst nodig zijn om suksesvol to kunnen werken over Oscar 10. Als u wat luisterervaring hebt opgedaan zult u bemerkt hebben dat de downlink signalen dikwijls zwak zijn, de snelle QSB draagt niet bepaald bij tot goede neembaarheid.
Omdat deze satelliet circulair gepolariseerd uitzendt, geeft ontvangst met een circulair systeem theoretisch 3 dB winst op een lineair systeem(1).
De hier beschreven antenne is gebouwd volgens het bekende Helix model en ontworpen voor mode B. De materiaallijst is nogal beperkt, reden waarom deze antenne goedkoop te fabriceren is. De drager is evenals de uithouders van plastic pijp, terwijl voor het aanpassingslid een truuk met wat coaxkabel is bedacht. De reflektor is van kippegaas.

Fig. 1. Helix rechtscirculair.
In de plastic (afvoer)pijp van 60 mm ⌀ worden gaten geboord volgens figuur 2. U doet dit het handigst met een sneldraaihoutboor waarbij u de andere wand van de pijp ook even raakt met de boorpunt. Door dit gaatje komt straks een vastzetschroefje t.b.v. de uithouder.

Fig. 2. Bouwtekening.
Deze zijn gemaakt van ⅝ installatiepijp. Omdat ze om 120° gerangschikt zijn dragen drie uithouders dus een winding. Voor een 4 windingen Helix zagen we dus 12 lengtes of van 30 cm elk. Onderin het pijpje wordt een houten klosje getikt en even voorgeboord, de andere kant vijlen we rond in, t.b.v. de Helix.
Als u nu de uithouders in de gaten steekt van de drager ziet u dat na een uurtje noeste arbeid het geheel al iets weg krijgt van een antenne Uw buurman ziet dat niet, op zijn vraag waar u nu (weer) mee bezig bent verzint u maar iets over een moderne kerstboom.
De reflektor kan een rondgebogen hoepel van betonijzer zijn. Dit materiaal "vindt" men op bouwwerken! Heeft u de moed om dit netjes aan de uitvoerder te vragen, dan krijgt u vast wel een stuk van + 3 meter. Kijkt u gelijk even rond voor een metalen pup met een diameter van 61 mm waar de houder in komt. Mogelijk dat u hiervoor naar de ijzerwinkel moet, 20 cm is voldoende, bij voorkeur zuigend passend.
U gaat nu de staaf betonijzer rondbuigen en wat lassen. Dit kunt u uiteraard ook laten doen. Na bekleden met kippengaas hebt u de reflektor gereed. Een alternatieve uitvoering aanbevolen door PE1HJJ is, op het gaas na, de reflektor geheel van plastic pijp te konstrueren.
Voor de Helix zelf kunt u het best een stevig soort coax toepassen bijvoorbeeld UR 141 of TM 35/02. RG 213 gaat wel als u het goed vastzet met scotch-tape aan de uithouders. De Helix eindigt op 1 cm afstand van de reflektor op een stand-off. Dit is tevens de aanhechting voor de ¼λ stub.

Voor een juiste aanpassing van de Helix antenne geeft de theorie steevast 140 Ohm aan. Dit leidt in de meeste ontwerpen tot moeilijke konstrukties van een ¼λ stub, zoals het maken van een pijp met gecentreerde binnengeleider waaraan de draaibank zelfs te pas komt. Wij passen hier ook een ¼λ stub toe, maar stellen deze samen uit 2 verschillende types coaxkabel, hetgeen zich weer leent voor gemakkelijke nabouw. Benodigd is 36 cm van coax type TM 35/02(3).
De buitengeleider van de TM wordt verwijderd, de plastic buitenmantel snijden we daartoe overlangs door maar plaatsen deze na de operatie, weliswaar gehavend weer terug. De braiding van de RG 213 stuiken we op en schuiven die buitenom de eigen plastic buitenmantel terug. Met de gekozen lengte van 50 cm komt u ruim aan 36 cm: de lengte van de stub. Deze laatste modifikatie van de RG 213 schuiven we hierna om de behandelde TM 32 en onze ¼λ stub is in principe gereed.
Intussen hebt u wel gemerkt dat met geringe kosten deze antenne uit te breiden is. Een beperking is wellicht de beschikbare ruimte in de tuin zoals laag boomgewas. In figuur 4 ziet u welke winst uitbreiden oplevert; tot 8 windingen zeker de moeite waard! Dezerzijds kon tot dusver slechts vergelijkend worden "gemeten". Regelmatig werd gelijktijdige ontvangst van Oscar 10 vergeleken met een UY 12 van WISI. Op het gehoor luidde de interpretatie gemiddeld "iets sterker met Helix". Volgens opgave van de fabrikant heeft de 10 element yagi 'ein Gewinn' (dB) van 11,5 over de gehele 2 mtr band, zodat als we 3 dB aftrekken voor de polarisatie komen op 8,5 dB voor de Gain van de Helix hetgeen prettig overeenkomt met figuur 4(2). Mocht u tenslotte logistieke problemen hebben met de bouw dan mag u kontakt opnemen met de auteur.

Fig. 4.
Sukses met uw satellietenwerk!
Voor de liefhebbers volgen hieronder de berekeningen van de beschreven Helix-antenne (figuur 5 en 6).

Fig. 5.

Fig. 6.
1. De dikte d van de Helix-spiraal wordt gegeven door 0,006 ≤ d/λ ≤ 0,05 we kiezen d/λ = 0,01 voor de 2 meter satellietsubband 145,9 MHz is λ = 2,056 meter en d minimaal = 0,006 × 2,056 = 12,3 mm.
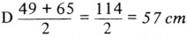
2. De omvang van de winding C = πD ligt tussen ¾ ≤ C/λ ≤ 4/3 kiezen we C/λ= 1 dan is![]()
![]()
middelen van beide waarden geeft voor ![]()
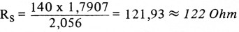
3. De waarde Rs zijnde de stralingsweerstand in het voedingspunt, wordt gegeven door 
hier ![]()
4. De minimale ⌀ van de reflektor:
Drefl. = ½λ = ½ × 2,056 = 102 cm.
5. De Z van de ¼λ stub berekenen we met Zstub = √Zkabel × Zant.
dus Zstub = √75 × 122 = 95,65 Ohm ≈ 96 Ohm.
6. Voor concentrische kabels is de
voor de hier toegepaste plastic/schuim kombinatie van het dielectricum is de empirische velocityfaktor doorgaans 0,65 zodat
![]()
of
![]()
en
![]()
D = 12 mm
d = 1 mm
7. Afstand L tussen 2 windingen is L = C tanΒ, de kromming Β van de Helix moet liggen 12° < Β < 15° voor een Β van 13° vinden we: L = 1,7 × tan13 = 0,3924 ≈ 39 cm.
1 t/m 4 en 7: UKW Berichte sept. 1972 Heft 3 DC0MT.
5: Empfangstechnik im UHF-Bereich - Ing. MOhring, F. Uitg. Loewe Opta AG.
6: Electronisch Jaarboekje 1963, uitg.: De Muiderkring.
PA0HTR.