Toen ik voor mijn QRL weer een nieuwe auto kreeg, stond ik voor de keus hoe ik QRV kon blijven zonder de auto te beschadigen. Tot voor kort werkte ik met een eigenbouw splitter op de autoradio-antenne, maar de nieuwe auto heeft een harde hemel en op het linker achterscherm een plaats voor de antenne (gat). Voor een goede afstraling vond ik dit niet voldoende en ging mijn gedachte uit naar een plakantenne op de achterruit.

lk vond in een amateurblad van augustus 1983 een stukje van PA0NO over dit onderwerp en sevens in een QSO met PA0JGQ Jos uit Heemskerk, van beiden heb ik tips gebruikt voor het ontwerp.
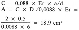
De glaskondensator heb ik als volgt berekend:
De kapaciteit moet zijn
![]()
De oppervlakte van de beide plaatjes moet dan worden:

hetgeen een plaatformaat oplevert van in dit geval 4,35 × 4,35 cm. Hiervoor heb ik van 15 mm koper waterleidingbuis 2 × 4,5 cm afgezaagd, daarna de stukjes in de lengte doorzagen en plat slaan, eventueel roodgloeiend maken en onder de kraan afkoelen waardoor het koper zacht wordt en makkelijker is te bewerken.


Van een middendoorgezaagd messing verchroomd afstandbusje met aan een zijde schroefdraad en aan de andere zijde een gat met draad wordt een deel midden op een van de koperplaatjes in de gewenste stand gesoldeerd, in het andere deel een gat boren ter grootte van de dikte van de spriet welke verkrijgbaar is bij de ijzerhandel in lengten van een meter, en daar in solderen. Op het andere plaatje een stukje dubbelzijdig printplaat solderen waar de spoel en trimmer een plaats vinden. Maak een spoel van dik installatiedraad 4 windingen op een boor van 10 mm, over deze spoel een trimmer van 25 pF.
De mantel van de coax aansluiten op het printplaatje en de kern op ongeveer ¾ van de eerste winding.
De plaatjes heb ik vastgezet met siliconenkit.
De lengte van de antenne kwam bij mij op ongeveer 80 cm uit.
De staandegolfverhouding was < 1 op 1.5, hetgeen redelijk is.
Wat richtinggevoeligheid betreft blijkt de antenne in de praktijk niet waarneembaar richtinggevoelig te zijn.
Om alles onopvallend te maken de spriet en koperplaat met zwarte verf behandelen. Ziehier voor een paar centen een goede antenne voor op de auto.
Ook is mij gebleken dat ik zonder de antenne te verwijderen in de parkeergarage kan zonder het dak te raken.
PD0OYW, Jacob Oudshoorn.